关于看板卡你需要知道的一切

内容贡献者凯特Eby

2016年7月28日

看板卡已经从制造环境的起源发展到现在用于敏捷软件开发、服务任务和跟踪个人工作。在任何表现形式中,看板方法的卡片和板子都是有价值的可视化工具,旨在减少浪费和提高生产力。ob欧宝娱乐app手机下载

本文将为您详细介绍看板卡:它们的起源、使用、与精益管理原则的关系,以及手工、在线和数字看板如何简化工作流程并使团队(或您)更高效。ob欧宝娱乐app手机下载


什么是看板卡?

看板是一个日语术语:“kan”的意思是“视觉的”,“ban”的意思是卡片,所以大致翻译过来,它的意思是“你可以看到的卡片”。丰田生产系统(TPS)之父大野太一(Taiichi Ohno)在20世纪5ob欧宝娱乐app手机下载0年代首创了看板卡(Kanban card)这个术语,以管理准时制(JIT)生产线上的零件流程。

看板的灵感最初出现在美国的Piggly Wiggly杂货店,当时Ohno注意到商店货架上的商品只够满足买家的需求。ob欧宝娱乐app手机下载只有当货架上有空位时,库存才会被补充。这使他产生了提供可视化标记(看板卡)的想法,以减少不必要的库存和发现工作流和过程问题的方法。


看板和看板卡的目的

看板有助于在工厂和其他组织中创建响应性工作场所,促进质量控制,并设计支持人类尊严并允许工人充分发挥其潜力的工作场所。

“丰田方式”或看板已经被汽车行业、商业和服务行业(包括医疗保健、政府和敏捷软件开发)的公司所采用,并仍在发展中——事实上,任何想要持续改进的组织都是如此。

大野大雄写了三本书专门讲述他关于“彻底消除浪费”和提高生产力的想法:ob欧宝娱乐app手机下载丰田生产系统:ob欧宝娱乐app手机下载超越大规模生产和工作场所管理在1988年,工作场所管理在2007年。正如大野所言,“为什么不让工作更简单、更有趣,这样人们就不用流汗了?”丰田的风格不是通过努力工作来创造结果。这是一种认为人们的创造力没有限制的制度。人们去丰田不是为了‘工作’,而是为了‘思考’。”

在美国,Ohno的系统被称为精益,它也专注于最大化客户价值,同时最小化浪费。“精益转型”是一个术语,用来描述正在使用系统来管理从前台到生产的业务的组织。ob欧宝娱乐app手机下载为了提高效率,看板和精益组织使用关键绩效指标(KPI)或者是跟踪绩效并让个人和团队负责的指标。

使用Smartsheet进行简单、强大的项目管理。你自己看。

Smartsheet是一个基于云的平台,允许团队和组织计划、管理和报告项目,帮助您更快地前进,取得更多成就。参见Smartsheet的实际操作。

观看免费演示


什么使看板和看板卡有效

在Ohno的概念中,与变化相关的情感和心理方面被牢记于心。这就是为什么他建立了一套明确的护栏来指导行动,阐明需要什么才能使系统高效,以及如何赋予为系统做出贡献的人权力。实践证明,四项基本原则和六项一般做法是这些理念行之有效的体现。

看板的四个基本原则

四个基本的变更管理原则描述了你需要思考什么或如何成功地管理效率:

1.从你现在做的开始。看板方法不规定具体的过程。看板可以用来检查现有的过程,但是不需要立即进行彻底的更改。

2.同意追求渐进的改变。就其本质而言,看板方法支持对当前系统进行持续的小改动。广泛的、激进的变革受到阻碍,因为它们不可避免地会遭遇阻力。

3.尊重当前流程、角色、职责和头衔。看板不禁止或强制变更,它承认组织的当前状态是有价值的。看板风格的增量更改创建了更广泛的实现支持,因为小的修改比过程的完全更改更令人满意。

4.鼓励各级领导的行动。改善,或组织中每个人持续改进的心态,是得到支持的。其理念是,团队中的任何人都可以产生伟大的想法,而不仅仅是管理层。

看板的六个通用实践

还有一些实践描述了你需要在看板系统中做些什么,以最优地朝着目标工作:

1.可视化工作流。这就是看板卡发挥作用的地方。一旦您可以实际看到工作、请求的数量、交付一个请求所需的时间、提出请求的人以及风险,您就可以采取步骤更好地单独或作为一个团队管理它们。卡片被放置在看板板上,这样所有团队成员都可以遵循当前的工作流程。

2.限制在制品。这是看板的基石。限制在制品迫使团队专注于有限数量的任务和完成的工作。在情况变得严重之前,这将突出显示交付管道中哪些工作受到了阻碍。

3.管理流程。基于在周期时间和其他公认的度量标准上收集的数据,并使用关于板上工作当前状态的信息,看板帮助可视化地跟踪和管理任务,以交付最大的价值。

4.做出明确的政策。看板团队共同创建关于不同项目的工作流的基本规则,何时将项目移动到下一个通道或行,以及如何注意和管理阻塞的工作任务。这些项目被标记在黑板附近,团队努力改进。

5.实现反馈循环。大多数看板团队每天都在他们的看板董事会前召开站立会议,在那里他们讨论改进任务交付和整体过程的方法,并查看哪些地方可以消除浪费。

6.合作改进,实验性地进化。看板系统照亮了需要改进的领域。一旦强调,工作组就会开发出解决问题的方法,假设并测试解决方案。

使用这些相同的原则和一般实践,看板在许多不同的业务领域都很有用:营销项目管理、人力资源、组织战略和执行领导、个人任务管理和审核团队。欧宝体育app官方888

为了取得成功,团队需要接受系统。每个人在将任务移交给下一个个人或团队之前,都需要在已经设定的标准内处理他们的任务,并遵循这些规则。此外,保持看板信息的更新和易于每个团队成员访问是非常重要的。这就是为什么数字和在线看板是有意义的——您可以随时随地访问它们,并立即保持最新,而不必依赖于物理卡和手动更新。


看板卡设计的艺术与科学

看板卡设计分为两类:物理或模拟卡,以及在在线环境中开发和使用的数字卡。

物理看板卡片

看板数字卡片

数字看板卡片

无论您创建的是物理看板还是虚拟看板,步骤都是相似的,尽管根据项目类型和团队规模的不同,它们可能更加详细。要记住的最重要的事情是,您正在记录流程中的步骤,并将其覆盖到现有流程上。总有一些事情需要你去做。没有必要从头开始,失去已经在工作的东西。看板是关于逐步改进的,因此将其作为改进过程的一部分应用的风险很小。下面是如何开始:

第一步:想象你的工作
•分解从开始到结束的每一步,为每一步创建一个通道或列。
•将任务分别写在虚拟卡片或物理卡片上。
•用颜色标注不同类型的工作,便于可视化。
•任务从左(要做的)移动到右(已经完成的)。

步骤2:限制在制品(WIP)
•在100%的工作能力下,你只会完成更少的工作。无论一个项目是基础的还是复杂的,或者团队是由两个人还是100人组成的,在保持效率的情况下,一次处理的工作量是有限度的。
•对正在执行的工作列进行限制。
•在制品限制的目标是流畅的工作流程和浪费的消除。

第三步:适应、监控和改进
•改进应该总是基于客观的度量,所以要找到并应用好的度量。
•使用数据来调整流程,使流程和效率最大化。

使用这些步骤,您将能够确定项目需要调整的位置,以及最适合您和您的工作组的方法。


你需要多少看板卡?

看板系统设计的一个基本问题是确定应该使用多少卡。在“推进”系统中,材料或想法被移动以遵守时间表,工作可能会被强制下游,无论合作伙伴是否准备好。“Push”也会导致拥塞,随着更多的项目进入队列,拥塞会呈指数级增长。“拉”系统,如看板,鼓励合作,消除生产过剩,生产不足,限制在制品,并控制库存。ob欧宝娱乐app手机下载同样的想法也适用于知识工作和软件开发。

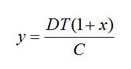
有一些公式,通常应用在监视库存的生产类型设施中,可以用来帮助决定需要多少看板卡。ob欧宝娱乐app手机下载

这里有一个公式的例子,来自RAI大学的MBA生产和运营管理课程:ob欧宝娱乐app手机下载

Y =牌数
D =单位时间的需求量
交货时间
C =集装箱容量
X =缓冲,或安全系数

工作组需要确定需要多少看板卡来有效地管理一个过程,数量可以根据项目的类型、复杂性和团队成员的数量而变化。因为看板是关于学习什么是最好的,即使确定使用多少卡也是一个渐进的过程。前面介绍的三步过程是发现所需看板卡数量的好方法。


不同类型的看板和持卡人

当使用物理卡片跟踪看板过程时,您需要一种方法来显示它们,以便您(如果您是单独工作的话)或您的团队可以看到过程状态。看板上的卡片持有人应该允许卡片可以很容易地移动以跟踪工作进度。有许多方法可以显示看板库存卡来跟踪库存、分期作业等。这里有一些选择:

看板仓系统。在双仓和三仓架系统中,主要用于跟踪库存,项目在生产线或供应设置中补充。ob欧宝娱乐app手机下载工作人员从第一个容器中取出任务,一旦空了,就翻转看板卡或整个容器(如果卡片是永久固定的)。然后,当第一个货仓的订单被下单时,工作人员从第二个货仓中取出物品。在第三仓系统中,仓是库存,并保存在供应商的位置。

看板卡支架和支架。通常用于材料处理环境,卡架和机架,通常安装在墙上,有助于项目的流动和通信。代替信号卡,代表需求或能力,板利用磁铁,塑料芯片,彩色垫圈,或便利贴来代表工作项目。这些对象中的每一个都代表生产或知识工作过程中的一个项目,因为它在板上移动。ob欧宝娱乐app手机下载

看板。看板最初表示为公告或白板,它跟踪工作流的三个主要领域:“待办事项”、“进行中”和“已完成”(或这些术语的变体)。许多人仍然以这种方式工作,它提供了项目当前位置和前进方向的良好视觉效果。

简单的看板表示

对于今天的大多数项目经理来说,白板太局限了,特别是当工作是远程完成的时候。“持有”看板卡的最新、最有效的方法——特别是对于复杂或虚拟进行的项目——是使用应用程序来表示虚拟白板的在线或数字看板。


在线和数字看板

通过在线看板,您可以使用您自己的设备屏幕来可视化、管理工作流,并与您的团队实时协作。在线看板通过使用应用程序模拟白板或公告板模型,但它们提供了更多:灵活性、更快的工作速度、清晰度和透明度。看板可以用来管理各种各样的工作,并帮助你:

  • 可视化正在进行的工作
  • 看到瓶颈和障碍,并决定如何消除它们
  • 提高团队沟通
  • 授权团队自我管理工作
  • 激发团队协作

基于web和云的看板板和模板可以很容易地定制,以适应任何工作流的需求。您可以更改指定列或通道的方式,并调整看板卡以适应您的项目。如果您正在寻找数字看板解决方案,您可以很容易地了解到根据您的需求选择最好的看板应用程序.如果您正在考虑在线看板,那么您可能是敏捷软件开发团队的成员,也是数字板最常见的用户。


用于软件开发的在线和数字看板

就像制造业看板之父大野太一(Taiichi Ohno)一样,另一种类型的看板之父也使用了同样的原则,将进化的、持续的改进模型应用到知识工作和软件开发中。管理顾问David J. Anderson帮助微软的Team Server团队创建了一个系统,可以可视化和限制软件开发和信息技术(IT)工作中的正在进行的工作。Anderson说:“看板不是软件开发生命周期方法论或项目管理方法。它要求一些过程已经到位,以便能够应用看板来逐步改变底层过程。”

精益软件开发(LSD)采用了看板和精益原则,这是由Mary和Tom Poppendieck在他们的书《精益软件开发》中描述的。就像David J. Anderson的开发过程一样,他们的原则与看板的原则非常接近:

  1. 消除浪费
  2. 增强学习
  3. 尽可能晚做决定
  4. 尽可能快地交付
  5. 让团队
  6. 建立诚信

今天,看板方法被广泛应用于LSD和其他在敏捷环境中执行的知识工作中。


敏捷看板

敏捷一词最早出现在2001年的《敏捷软件开发宣言》中,该宣言由17名独立的软件开发人员撰写。敏捷方法是一种迭代和灵活的方法,它允许团队将开发过程分割为可管理的部分,因此随着工作的进展,更改更容易进行,并防止使整个开发项目陷入停滞。

接受增量变化的能力,使任务和进展透明,以及适应的能力是项目经理喜欢使用看板进行项目管理的原因。尽管敏捷团队可能需要比基本看板更多的选择——做、做、做——看板的自适应特性意味着它可以很容易地根据项目的需要进行调整。更复杂的任务和工作流程可以在物理或数字看板上直观地展示,使用垂直和水平路径的组合,并应用颜色编码来识别卡片类型。

看板在敏捷开发中最重要的用途之一是它对在制品的限制。通过可视化跟踪任何特定车道上工作积压的位置,您可以采取行动,对车道上允许的最大项目数量施加预先确定的限制,以保持工作顺利进行。

如今,许多敏捷团队都在利用应用程序来进一步简化他们的项目。应用程序可以很容易地共享和更新信息,跟踪和改进指标以持续改进,与已经使用的工具集成,并节省时间。选择正确的项目管理软件对于实现您的开发团队目标至关重要——学习如何为您的项目选择正确的敏捷工具。


Scrum看板

Scrum是一个看似简单的框架,是敏捷的一个子集。它是Jeff Sutherland在1993年创建的,也是一种采用迭代的软件开发模型。它被设计用来管理复杂的软件和产品开发,但它也适用于任何与软件开发无关的复杂工作范围。ob欧宝娱乐app手机下载Scrum使用的迭代是固定长度的。这些迭代称为冲刺,持续一到两周,这允许团队定期交付软件。在每个sprint结束时,与涉众和团队成员举行会议,以生成下一步步骤。

Scrum遵循一套不变的角色、职责和会议。例如,Scrum需要四个过程:sprint计划、每日站立、sprint演示和sprint回顾。这些程序旨在促进改进,加速和深化团队成员的承诺,以产生态度和交付方面的积极变化。虽然Scrum本质上比看板更结构化,因为看板可以应用于任何过程,但它是一个让工作“正确”完成的有用工具。在每一次冲刺过程中,团队使用像看板板这样的可视化工具来显示进度并产生反馈,无论是在为不同类型的工作指定的垂直泳道还是水平泳道上。

看板和看板应用为Scrum添加了一项在制品(WIP)限制规则,以防止或快速清除瓶颈,以保持项目快速交付。如果这听起来像是你正在寻找的增强Scrum过程的工具,请阅读如何选择合适的Scrum工具


JIRA看板

JIRA Software是一种可定制的开发工具,它可以应用于任何敏捷开发实践、Scrum、看板或各种方法的组合。虽然许多开发人员认为它是开源软件,但它是Atlassian的专有产品。ob欧宝娱乐app手机下载JIRA不仅仅是一个“bug追踪器”,它还用于跟踪问题。它可以遵循新的特性请求、系统管理或Scrum任务,或用户需要的任何其他特性。JIRA还可以用于管理任务、指定优先级和通过系统无缝推送票据。在这种方式上,JIRA类似于看板,因为它很容易看到积压,并且可以施加时间限制。

许多非开发人员在使用JIRA的企业中工作,如果他们不精通IT,了解项目中的工作进度可能是一项挑战。有一个答案是通过集成自动同步两个方向。通过在工具之间积极地同步数据,每个人的工作都是共享的,并且是可见的,以创建协作项目和过程管理,并且两个系统中的信息总是最新的。

Smartsheet jira提高了能见度

了解更多的区别和相似之处敏捷、Scrum和看板


Excel看板

你也可以在Excel中创建看板。为你的工作表的列命名,以反映工作的阶段——待办事项、正在进行中、已完成以及与你的项目相关的任何其他阶段——并在列中填写你的任务。您将保留Excel中跟踪的典型项目的所有功能,但可以采用看板原则来增强可见性和灵活性。此外,您可以在PowerPoint中轻松地创建看板板,这使得向想要更深入了解所做工作的外部涉众或管理人员展示工作变得更容易。


个人看板

尽管敏捷原则通常用于软件开发,但它也可以应用于个人任务管理。正在寻找一种更有效地处理自己待办事项清单的方法吗?个人看板专家Jim Benson曾与Tonianne DeMaria合著了一本关于这一主题的书《个人看板,绘制工作地图,引导生活》,他建议看板可以帮助整理工作量和个人生活优先事项,比如度假、婚礼或家庭项目。在他的书中,他写道:“当高速公路接近100%的容量时,它就不再是高速公路了。它变成了一个停车场。”适用于看板的原则也可以应用于您如何组织自己的工作或生活任务。与其他看板一样,个人看板帮助您识别工作流,并使用基本的看板行可视化您的工作:待做、正在做、已完成(或它们的一些变体)。在创建个人看板时要记住的一件事是,实际地理解一次可以做多少件事。通过限制在制品,你将被迫在进行下一个之前完成任务。

个人看板厨房改造


尝试Smartsheet更容易的看板项目管理

从简单的任务管理和项目计划到复杂的资源和投资组合管理,Smartsheet帮助您改善协作,提高工作速度——使您完成更多工作。

Smartsheet平台可以方便地在任何地方计划、捕获、管理和报告工作,帮助您的团队更有效地完成更多工作。报告关键指标,并在工作发生时通过滚动报告、仪表板和自动工作流来获得实时可视性,以保持团队的联系和消息灵通。

当团队清楚要完成的工作时,没有人知道在同样的时间内他们能多完成多少。今天就可以免费试用Smartsheet。

发现一个更好的方法来简化工作流程和消除竖井。

在Smartsheet中创建看板卡 获得一个免费的Smartsheet演示