「カンバンカード」について知っておくべきすべて

ByKate Eby| 2016年7月28日

カンバンカードは製造環境における起源から進化し、現在はアジャイル・ソフトウェア開発、サービス・タスク、および個人の作業を追跡するために使用されています。 カンバン方式のカードとボードは、無駄を最小限に抑え、生産性を高めるために設計された貴重な視覚的ツールです。

この記事では、カンバンカードについて説明します: リーンマネジメントの原則に関する起源、使用、および手動、オンライン、デジタルのカンバンボードを使ってワークフローを簡素化し、チームやあなたよりも生産性を高める方法。

カンバンカードとは何ですか?

カンバンは日本語の用語です: 「カン」とは「視覚的」で「バン」とはカードを意味するので、大まかに言えば「見えるカード」を意味します。 トヨタ生産システム (TPS) の父である大野太一は、1950年代に部品の流れをジャストインタイム (JIT) 生産ラインで管理するために、カンバンカード・システムという言葉を生み出しました。

今日でも使われていますが、アメリカのPiggly Wigglyの食料品店で、店頭の棚に買い手の需要を満たすのに十分な製品しか用意されていないのに大野氏が気づいた時に、最初にカンバンのインスピレーションが湧きました。 在庫が補充されるのは、棚に空の場所がある場合だけです。 これにより、不要な在庫を減らし、ワークフローやプロセスの問題を発見する方法を提供する視覚的なマーカーであるカンバンカードの考えが生み出されたのです。


カンバンとカンバンカードの目的

カンバンは、工場やその他の組織で応答性の高い作業サイトを作成し、品質管理を促進し、人間の尊厳をサポートし、労働者がその可能性を最大限に実現できる作業サイトを設計するのに役立ちます。

「トヨタ方式」またはカンバンは採用され、現在も自動車ビジネスや医療、政府、アジャイル・ソフトウェア開発などのビジネスやサービスにおいて、企業によって進化しています。実際、継続的改善を希望するいずれの組織で進化しています。

大野は、「無駄を完全に排除する」と生産性の向上について、彼のアイデアについて、3冊の著書を書いています:トヨタ生産システム:1988年の大規模な生産および勤務場所の管理、および2007年の勤務場所の管理を超える。 大野は「汗をかく必要がないように、仕事をもっと楽に、もっと面白くしてみませんか? トヨタのスタイルは、一生懸命働いて結果を出すことではありません。 人の創造性に制限はないと言うシステムです。 人はトヨタに「仕事」に行かず、「考える」ためにそこに行きます。」

米国では,大野のシステムはリーンと呼ばれ、無駄を最小限に抑えながら顧客価値を最大化することにも注力しています。 「リーン変革」とは、システムを使ってフロントオフィスから生産へのビジネスを管理する組織の特徴を示すのに使う用語です。 効率性を高めるために、カンバンとリーン組織は重要業績評価指標 (KPI)や業績を追跡する指標を使用して、個人やチームに責任を持たせています。

Project Management Guide

Your one-stop shop for everything project management


Ready to get more out of your project management efforts? Visit our comprehensive project management guide for tips, best practices, and free resources to manage your work more effectively.

View the guide

カンバンとカンバンカードが効果的な理由

大野の考え方では、変化に関連する感情的、心理的側面が念頭に置かれています。 そのため彼は、行動を導く明確なガードレールのセットを確立し、システムを効率的にするためには何が必要かを明確にし、それに貢献する人々に力を与える方法を確立しました。 これらのアイデアは、時間をかけて効果的であることが証明され、4つの基本原則と6つの一般的な実践に具現化されています。

カンバンの4つの基本原則

4つの基本的な変更管理の原則は、効率を上げるための管理を成功させるためには、何を、どのように考える必要があるかを説明しています:

1. 今やっていることから始めましょう。 カンバン方式は、特定のプロセスを要求するものではありません。 カンバンは既存のプロセスを検証するために使用できますが、急進的な変更をすぐに行う必要はありません。

2. 漸増的な変化を追求することに同意します。 カンバン方式はその性質上、どのようなものであれ、現在のシステムに対する小さな継続的な変更をサポートします。 広範囲にわたる急進的な変化は、必然的に抵抗に出会い、やる気を失います。

3. 現在のプロセス、役割、責任、肩書きを尊重します。 カンバンは変更を禁止したり義務付けたりせず、組織の現在の状態に価値があることを認識します。 カンバンスタイルの漸増的変化は、小さな修正を行う方がプロセス完全に変更するよりも快いため、より広範な実装サポートを作成します。

4.すべてのレベルでリーダーシップの発揮を奨励します。 カイゼンとは、組織内の全員が継続的に改善していくという考え方をサポートします。 その概念は、優れたアイデアは、管理だけでなく、チームの誰からでも生み出すことができるということです。

カンバンの6つの一般的な実践

また、目標に向かって最適に作業するためにカンバンシステムで行う必要があることを説明する実践もあります:

1. ワークフローを視覚化します。 ここでカンバンカードが活動し始めるのです。 実際に仕事、リクエストの数、リクエストに対する納品に必要な時間、リクエストの担当者、リスクを確認できたら、個々のチーム全体で、より良い管理を行えるステップを踏むことができます。 カードはカンバンボードに配置されるため、チームメンバー全員が現在のワークフローに従うことができます。

2. 進行中の仕事 (WIP) を制限します。 これはカンバンの根幹です。 WIPを制限することで、チームは限られた数のタスクと作業完了に集中できます。 これは、状況が重大になる前に納品パイプラインで仕事が妨害されている場所に注目します。

3. フローを管理します。 サイクル時間やその他の合意された指標に基づいて収集されたデータに基づき、ボード上の現在の作業状態に関する情報を使用して、カンバンはタスクを視覚的に追跡して管理し、最大の価値をもたらすのに役立ちます。

4.ポリシーを明確化します。カンバンチームは協力して,さまざまな項目の作業フローに関する基本的なルール、項目を次のレーンや行に移動するタイミング、ブロックされた作業タスクをメモして管理する方法を作成します。 これらの項目はボードの近くにマークされ、チームは改善に取り組みます。

5. フィードバック・ループを実装します。 ほとんどのカンバンチームは、カンバンボードの前で毎日立ったままでミーティングを行い、タスクの納品と全体的なプロセスを改善する方法について話し合い、無駄を取り除くことができる場所を確認します。

6. 改善のためにコラボレーションし、実験的に進化します。 カンバンシステムは、改善を求める分野を明るく照らします。 強調表示されたら、作業グループは、問題の解決、仮説の策定、解決策のテスト方法を開発します。

カンバンは、同じ原則と一般的な実践を使用して、多くの異なるビジネス領域で役立ちます: マーケティング・プロジェクト管理、人事、組織戦略的および経営幹部のリーダーシップ、個人タスク管理、および監査チーム。

成功するには、チームがシステムに賛同する必要があります。 タスクを次の個人やチームに引き継ぐ前に、誰もが設定した基準の範囲内でタスクを処理し、それらのルールに従う必要があります。 さらに、カンバン情報を最新の状態に保ち、すべてのチームメンバーが簡単にアクセスできるようにすることが不可欠です。 デジタルおよびオンラインのカンバンボードは、物理的なカードや手動の更新に依存することなく、いつでもどこでもアクセスでき、即座に最新の情報を提供できるため理にかなっています。

カンバンカード設計の芸術と科学

カンバンカードの設計を、次の2つのカテゴリで考えてみましょう: 物理的またはアナログカード、およびオンライン環境で開発および使用されるデジタルカード。

物理的なカンバンカード

kanban digital card

デジタル・カンバンカード

物理的なカンバンボードを作成する場合でも、バーチャル・カンバンボードを作成する場合でも、ステップは似ていますが、プロジェクトの種類やチームの規模に応じて詳細な手順を説明します。 覚えておくべき最も重要なことは、プロセスのステップを文書化し、それを既存のプロセスに盛り込んでいることです。 その仕事は常に存在します。 1から始めて、すでに機能しているものを失う必要はありません。 カンバンはすべて段階的な改善なので、改善の道のりの一環として適用するリスクは最小限です。 以下が開始方法です:

ステップ1: 仕事の視覚化
• 最初から最後まですべてのステップを分割して、各ステップのレーンまたは縦列を作成します。
• タスクをバーチャルまたは物理的なカードに個別に書き留めます。
• 簡単に視覚化するための作業の種類を色分けします。
• タスクは左の[やること]から右の[完了]に移動します。

ステップ2: 進行中の仕事 (WIP) を制限します
• 100%の能力を使っても、完了することは少しだけです。 プロジェクトが基本的なものでも複雑なものでも、チームが2人で構成される場合でも、100名でも、同時に処理を行い、それでも効率を維持できる作業量には制限があります。
•作業を実行している縦列に制限を設定します。
• WIP制限の目標は、スムーズなワークフローと無駄の排除です。

ステップ3: 適応、監視、改善
• 改善は常に客観的な測定に基づいている必要があるため、良い指標を見つけて適用しましょう。
• データを活用してプロセスを調整し、フローと効率を最大限に高めましょう。

これらのステップを使用することで、項目を調整する必要がある場所と、あなたとあなたの作業グループに最適なものを特定できます。

必要なカンバンカードはいくつですか?

カンバンシステム設計の基本的な質問の1つは、使用するカードの数を決定することです。 材料やアイデアがスケジュールに従って移動する「プッシュ」システムでは、そのパートナーの準備が整っているかどうかにかかわらず、下流に作業が強制される可能性があります。 「プッシュ」は渋滞の原因にもなりますが、これは待ち行列に入る項目が増えるにつれて指数関数的に増加します。 カンバンのような「プル」システムは、協力を促し、過剰生産、生産不足を排除し、進行中の仕事を制限し、在庫を制御します。 この考え方は、知識労働やソフトウェア開発にも当てはまります。

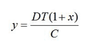
通常、在庫を監視している生産タイプの設備で適用される数式は、必要なカンバンカードの数の決定に役立ちます。

以下は、RAI UniversityのMBA生産管理学コースの数式の例です:

Y = カードの数
D = 時間単位あたりの需要
T = リードタイム
C = コンテナ容量
X = バッファー、または安全率

作業グループは、プロセスを効果的に管理するために必要なカンバンカードの数を決定する必要がありますが、その量はプロジェクトの種類、複雑さ、チームメンバーの数によって異なります。 カンバンは何が最適かを学ぶことであるため、使用するカードの数を設定することさえ進化的なプロセスです。 先ほど説明した3つのステップからなるプロセスは、必要なカンバンカードの数を明らかにするのに適しています。

カンバンボードとカードホルダーの種類

カンバンプロセスを追跡するために物理的なカードを使用する場合、一人で作業している場合やチームがプロセスのステータスを確認できるように、カンバンプロセスを表示する方法が必要です。 カンバンボードのカード保持者は、作業の進捗に従ってカードを簡単に移動できるようにする必要があります。 カンバン在庫カードを表示して、在庫、ジョブを計画するなど方法はたくさんあります。 以下はその一例です:

カンバン・ビン・システム。主に在庫を追跡するために使用される2つのビンおよび3つのビンのホールダーシステムでは、項目は生産ラインか供給の設定で補充されます。 作業者がビン番号1からタスクを引き出し、一旦空にすると、カンバンカードまたはビン全体 (カードが恒久的に固定されている場合) をひっくり返します。 次に作業者が2番目のビンからアイテムを引き出し、最初のビンの補充用の順序を配置します。 第3のビンシステムでは、ビンは在庫であり、サプライヤーの場所に保管されます。

カンバンカード・ホルダーとラック。多くの場合、資材取扱い環境で使用され、カードホルダーとラックは通常は壁に取り付けられ、プロジェクトやコミュニケーションの流れを支援します。 需要やキャパシティを表す信号カードの代わりに、磁石、プラスチックチップ、着色されたウォッシャー、または付箋を使用して作業項目を表します。 これらの各オブジェクトは、ボードの周りを移動する際の生産や知識労働プロセスの項目を表します。

カンバンボード。元々は掲示板やホワイトボードとして表現されていたカンバンボードは、ワークフローの主な3つの領域を追跡しました: 「やること」、「進行中」、「完了」 (またはこれらの用語のバリエーション)。 いまだに多くの人がこのように働いているため、プロジェクトが現在どこに位置し、どこに向かっているのかを視覚的に確認できます。

Simple kanban representation

今日のほとんどのプロジェクトマネージャーにとって、特にリモートで作業を行っている場合は、ホワイトボードの制限が多すぎます。 カンバンカードを「保持する」ための最も効率的で最新の方法 (特に複雑なプロジェクトやバーチャルで実施されるプロジェクトの場合) は、オンラインまたはデジタルのカンバンボードで、アプリを使ってバーチャルホワイトボードを表現します。

オンラインおよびデジタル・カンバンボード

オンラインのカンバンボードを使用すると、ご自分のデバイス画面を使用して、ワークフローを視覚化、管理し、チームとリアルタイムでコラボレーションすることができます。 オンラインのカンバンボードは、アプリを使ってホワイトボードや掲示板のモデルを模倣しますが、それ以上の機能があります: 柔軟性、迅速な作業、明確性、透明性。 カンバンは、すべての種類の仕事を管理し、あなたを助けるために使用することができます:

  • 進行中の作業 (WIP)を視覚化します
  • ボトルネックと障害を確認し、それらを削除する方法を決定します
  • チームのコミュニケーションを改善します
  • チームが作業を自己管理する権限を与えます
  • チームコラボレーションにインスピレーションを与えます

ウェブおよびクラウドベースのカンバンボードとテンプレートは、あらゆるワークフローのニーズに合わせて簡単にカスタマイズできます。 縦列やレーンの指定方法を変更したり、プロジェクトに合わせてカンバンカードを調整したりできます。 デジタル・カンバン・ソリューションの市場に参入している場合は、ニーズに合った最善のカンバンアプリの選択について簡単に学ぶことができます。 オンラインのカンバンについて考えているなら、おそらくデジタルボードの最も一般的なユーザーであるアジャイルソフトウェア開発チームのメンバーかもしれません。

ソフトウェア開発用のオンラインおよびデジタル・カンバンボード

カンバン製造の「父」である大野太一と同様に、別のタイプのカンバンの「父」がいて、この原則を知識作業とソフトウェア開発に同じ進化的、継続的改善モデルを適用しています。 経営コンサルタント、David J. Andersonは、MicrosoftのTeam Serverグループが、ソフトウェア開発および情報技術 (IT) 作業における進行中の作業を視覚化し、制限するシステムの作成を支援しました。 Andersonによれば、「カンバンはソフトウェア開発ライフサイクルの方法論でも、プロジェクト管理へのアプローチでもありません。 カンバンを適用して根本的なプロセスを漸増的に変更できるように、ある程度のプロセスがすでに整っている必要があります。」

リーン・ソフトウェア開発 (LSD) はカンバンとリーンの原則を採用しました。これについては、Mary PoppendieckとTom Poppendieckが、 「Lean Software Development(リーン・ソフトウェア開発)」という本で説明しています。 David J.と同様に Andersonの開発プロセスは、その原則はカンバンと密接に関わるものです:

  1. 無駄をなくす
  2. 学習を拡大する
  3. 出来る限り遅く決断する
  4. 可能な限り迅速に納品する
  5. チームを強化する
  6. 整合性を構築する

現在、カンバン方式はLSDやアジャイル環境で行われるその他の知識労働で広く使用されています。

アジャイル・カンバンボード

アジャイルという用語は、2001年に、7人の独立したソフトウェア開発者によって書かれた「Manifesto for Agile Software Development(アジャイルソフトウェア開発のためのマニフェスト)」で初めて考案されました。 反復型で柔軟なアプローチであるアジャイル手法では、チームが開発プロセスを管理しやすい要素に分割できるため、作業の進行に合わせて変更が容易になり、開発プロジェクト全体が停止状態になるのを防ぐことができます。

プロジェクトマネージャーがプロジェクト管理にカンバンボードを使用するのが好きな理由は、漸増的な変更を受け入れ、タスクと進捗を透明性を高め、適応する能力です。 アジャイルチームは、基本的なカンバン(やること、進行中、完了)よりも多くの選択肢が必要な場合があるかもしれませんが、カンバンの適応性は、プロジェクトのニーズに簡単に適応できることを意味します。 物理的またはデジタルのカンバンボードでは、垂直方向と水平の組み合わせと色分けを使用して、カードの種類を識別するために、より複雑なタスクとワークフローを視覚的に提示できます。

アジャイル開発におけるカンバンの最も重要な使用法の1つは、進行中の作業に課せられる制限です。 特定のレーンで作業がバックログされている場所を視覚的に追跡できるため、レーン内で許可される項目の最大数に対して事前に制限を設けて作業をスムーズに進めることができます。

今日、多くのアジャイルチームはアプリを活用してプロジェクトをさらに合理化しています。 アプリを使えば、情報の共有や更新、継続的な改善のための指標の追跡と改善、すでに使用されているツールとの統合、時間の節約が容易になります。 開発作業チームの目標を達成するには、適切なプロジェクト管理ソフトウェアを選択することが不可欠です。つまり、プロジェクトに適切なアジャイル・ツールを選択する方法を学ぶことです。

スクラム・カンバンボード

見かけと異なってシンプルなフレームワークであるスクラムは,アジャイルのサブセットです。1993年にJeff Sutherlandによって作成されたこのモデルは、反復を採用したソフトウェア開発モデルでもあります。 複雑なソフトウェアや製品開発を管理するように設計されましたが、ソフトウェア開発とは無関係に、複雑な作業範囲にも適しています。 スクラムが使用する反復は固定された長さです。 これらの反復はスプリントと呼ばれ、1〜2 週間続くため、チームは一定の間隔でソフトウェアを出荷できます。 各スプリントの終了時には、関係者とチームメンバーによるミーティングが行われ、次のステップが生まれます。

スクラムは、役割、責任、会議の不変のセットです。 たとえば、スクラムは次の4つの手順を必要とします: スプリント計画、毎日のスタンドアップ、スプリントデモ、スプリントのふりかえり。 これらの手順は、改善やスピードのモチベーションを高め、態度や納品のポジティブな変化を生み出すチームメンバーのコミットメントを深めるために設計されています。 スクラムはカンバンよりも本質的に構造化されていますが、カンバンはどのプロセスにも適用できるため、「適切な」完了まで作業を進めるのに便利なツールです。 各スプリント中に、チームはカンバンボードなどの視覚的なツールを使用して、異なる作業タイプに指定された垂直方向のレーンと水平スイムレーンの両方で進捗を示し、フィードバックを生成します。

カンバンとカンバンアプリがスクラムに追加するものの 1 つは、プロジェクトを納品に向けて迅速に進めるためにボトルネックを防いだり、迅速にクリアしたりするための進行中の作業 (WIP) 制限の規律です。 スクラムプロセスを強化したいツールのように聞こえたら、“適切なスクラムツールを選ぶ方法”をお読みください。

JIRAカンバンボード

JIRAソフトウェアはカスタマイズ可能な開発ツールで、あらゆるアジャイル開発実践、スクラム、カンバン、または手法の組み合わせに採用できます。 開発者の多くはオープンソース・ソフトウェアだと考えていますが、これはアトラシアン独自の製品です。 単なる「バグトラッカー」ではなく、JIRAを使って課題を追跡できます。 新しい機能リクエスト、システム管理者またはスクラム・タスク、またはユーザーが必要とするその他の機能に従うことができます。 JIRAはタスクの管理、優先度の指定、システムを通したシームレスなチケットのプッシュにも使用できます。 バックログを確認しやすく、時間制限を設けることができるので、JIRAはカンバンと似ています。

開発者以外の多くはJIRAを使用する企業で働き、ITに精通していない場合、プロジェクトの進捗を把握するのは困難です。 どちらかの方向に自動的に同期する統合を介した答えがあります。 ツール間でデータを積極的に同期させることで、全員の工数が共有され、可視化され、共同のプロジェクトやプロセス管理が可能になり、両方のシステムの情報は常に最新の状態に保たれます。

smartsheet jira improved visibility

アジャイル、スクラム、カンバンの違いと類似点について詳細をご覧ください。

Excelカンバンボード

また、Excelでカンバンボードを作成することもできます。 作業のステージ (やること、進行中、完了、その他のプロジェクトに関連するステージ) を反映するためにシートの縦列に名前を付け、その縦列にタスクを入力します。 Excelで追跡される一般的なプロジェクトのすべての機能を保持しますが、可視性と柔軟性を高めるためのカンバンの原則を採用することもできます。 さらに、PowerPointでカンバンボードを簡単に作成できるため、作業に関するより大雑把なインサイトを求める外部の関係者や経営陣に作業を簡単に提示できます。

パーソナル・カンバンボード

ソフトウェア開発で一般的に使用されますが、アジャイルの原則は個人のタスク管理にも適用できます。 自分の「やること」リストをより効果的に処理する方法をお探しですか? Tonianne DeMaria、Personal Kanban、Mapping Work、Navigating Lifeと共にこのテーマに関する本を書いた個人のカンバンの第一人者であるJim Bensonは、カンバンは休暇、結婚式、ホームプロジェクトなど、仕事量や競合する個人的な生活の優先順位を整理するのに役立つと助言しました。 著書の中で彼は以下のように書いています。「フリーウェイが100%のキャパシティに近づくにつれ、フリーウェイになるのを止め、 駐車場になります。」 カンバンにも適用されるのと同じ原則を、自分の仕事や生活のタスクを整理する方法に適用できます。 他のカンバンボードと同様に、個人のカンバンは、基本的なカンバンボードの行を使ってワークフローを特定し、仕事を視覚化するのに役立ちます: やること、実行、完了 (またはそれらのバリエーション)。 個人のカンバンを作成する際に覚えておくべきことの1つは、現実的に、一度にできることの数を理解することです。 進行中の作業を制限することで、次に進む前にタスクを完了せざるを得なくなります。

personal kanban kitchen remodel

容易なカンバンプロジェクト管理のためにSmartsheetをお試しください

シンプルなタスク管理やプロジェクト プランニングから、複雑なリソース計画やポートフォリオ マネジメントまで、Smartsheet は共同作業の改善と作業速度の向上に役立ち、より多くの成果を上げるのに効果的です。 Smartsheet プラットフォームなら、いつでもどこでも簡単に作業の計画、保存、管理、およびレポート作成が可能なため、チームはより効率的かつ効果的に仕事を進めることができるようになります。作業に関して主要なメトリックを表示したり、リアルタイムの可視性を提供したりするために、ロールアップ レポート、ダッシュボード、および自動化されたワークフローを作成する機能も装備されており、チーム メンバーをつないで情報共有を促進することが可能です。 やるべきことを明確にすると、チームの生産性と作業達成能力が向上します。ぜひこの機会に Smartsheet を無料でお試しください。

ワークフローの合理化とサイロの完全排除を実現するより良い方法を見つけましょう。

Smartsheetでのカンバンカードの作成 Get a Free Smartsheet Demo